Amanda Aslakson
Mark Aslakson
Jennifer Thoreson
Blair Thoreson
Shannon Gephart
Rob Gephart
Kara Kalbus
Andy Kalbus
Amanda Kaldor
Adam Kaldor
Jennifer Thoreson
Blair Thoreson
Carrie Feigum
Jesse Feigum
Amanda Aslakson
Mark Aslakson
Jack Maughan
Brenda Maughan
Linn Webb
Wade Webb
Amanda Tracy
Tyler Tracy
Kara Kalbus
Andy Kalbus
Amber Sander
Ben Sander
Shannon Gephart
Rob Gephart
Justin Hanson
Jenaah McLeod-Hanson
Kathleen Bergseth
Keith Bergseth
Dan Shultis
2025 January Booster Board Meeting Minutes (pdf)
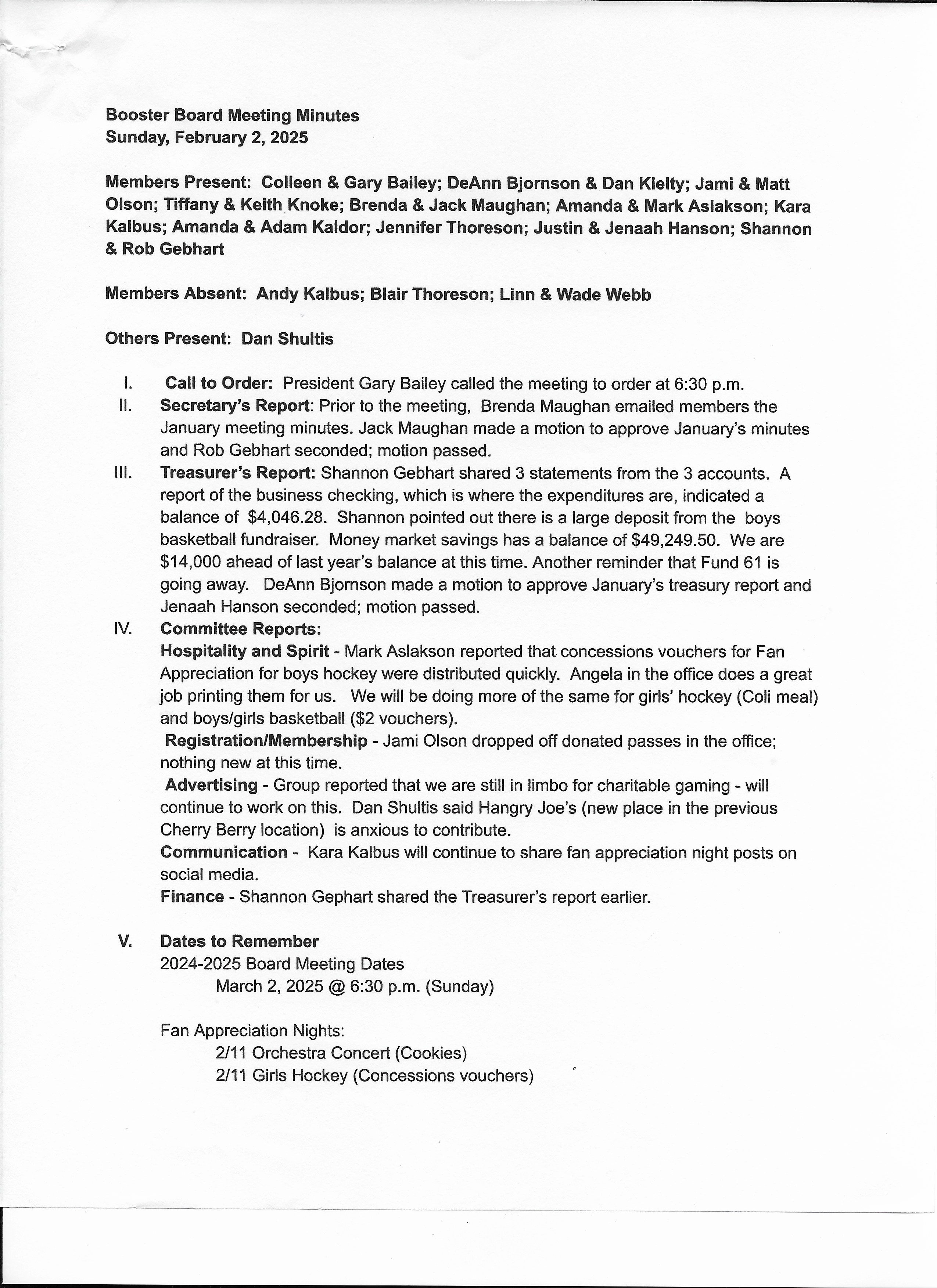
Download2025 February Booster Board Minutes Pg1 (jpg)
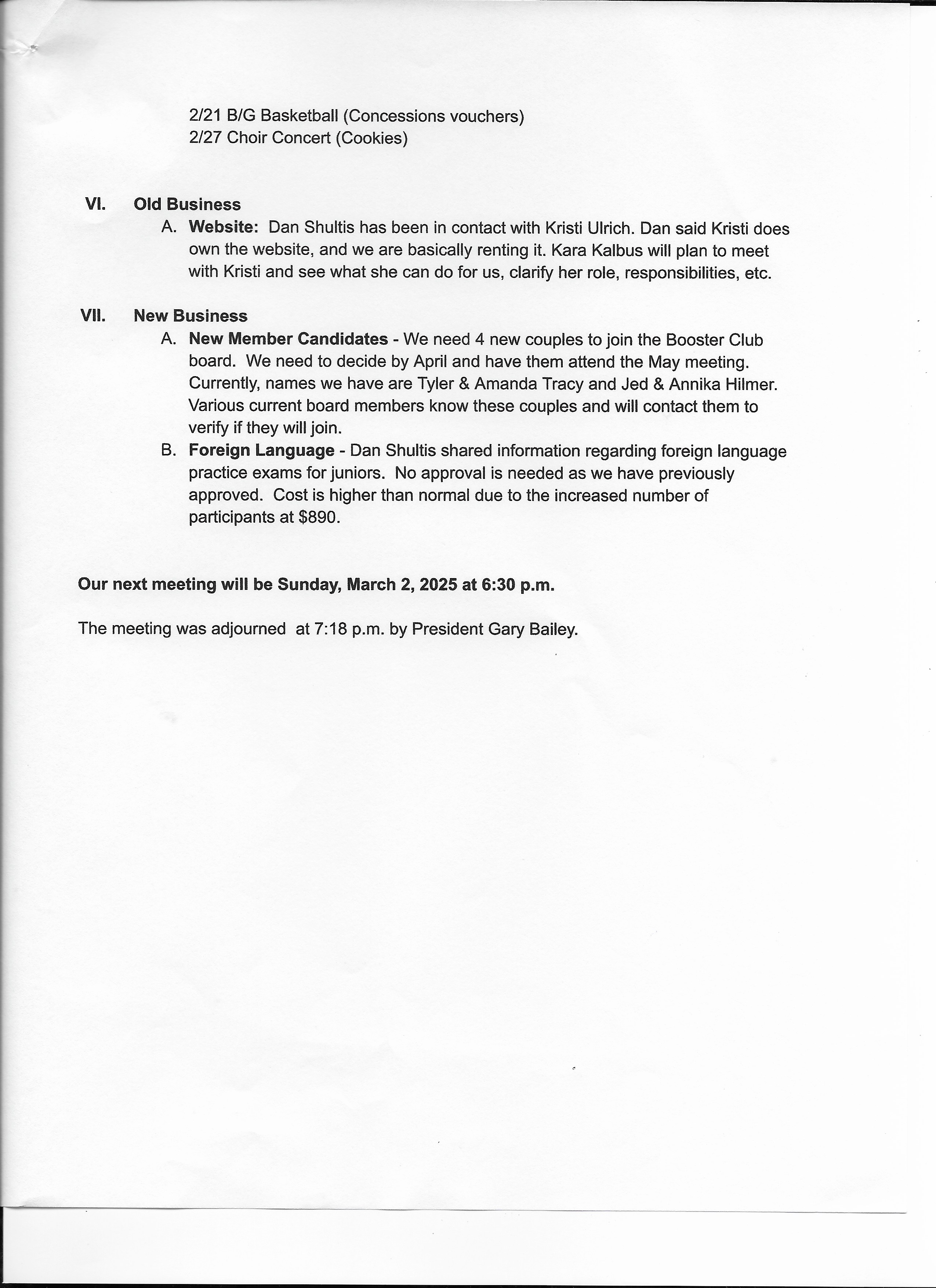
Download2025 February Booster Board Minutes Pg2 (jpg)
Download2025 March Booster Board Minutes (pdf)
Download2025 April Booster Board Meeting Minutes (pdf)
Download2025 May Booster Board Meeting Minutes (pdf)
Download2025 June Booster Board Minutes (pdf)
Download2025 July Booster Board Minutes (pdf)
Download2025 August Booster Board Meeting Minutes (pdf)
Download2025 September Booster Board Meeting Minutes (pdf)
Download2025 October Booster Board Meeting Minutes (pdf)
Download2025 November Booster Board Meeting Minutes (pdf)
Download2025 December Booster Board Meeting Minutes (pdf)
DownloadCopyright © 2026 Fargo North Booster Club - All Rights Reserved.
Designed by Kristi Ulrich & Co, LLC

We use cookies to analyze website traffic and optimize your website experience. By accepting our use of cookies, your data will be aggregated with all other user data.